今年が良い年になりますように
あけましておめでとうございます。今年もiサイクル2見守り隊の記録は続きます!
2026年からは日々の日次、週次、月次報告という具合にしていきます。
FXの利益って引き出して使ったことがないので、今年こそ利益を引き出して旅行とかご馳走食べたりとかにつかえたらいいな~という夢が実現しますように!
今日は先月12月分のご報告です。
12/31までののチャート(※画像は外為オンラインの取引画面より引用)
ポンド円

ユーロ円

上のチャートは自動売買で稼働させているのと同じ「ポンド/円」と「ユーロ円」の4時間足です。チャートには移動平均線(SMA)の150(赤線)と450(水色線)を追加しています。自動売買の設定画面に『トレンド判断テクニカル』という記載があったので反映しています。
現在のチャートを見ると、ローソク足が2本の移動平均線よりも上にあり、しっかりとした上昇トレンドであることがわかります。このトレンドに自動売買の設定がうまく噛み合ったことが、12月の好成績につながったようです!
12月の損益状況
2025年12月は途中(18日から)からユーロ円を加えて、2通貨体制にしました。ユーロ円はトレード日で10日分です。獲得ピプスは12月だけで約1800ピプスです!すごくないですか!?設定がうまくはまるってこういうことなんですね!感動します!(^^)!
12月の実績
| 項目 | ポンド/円 | ユーロ/円 | 合計 |
|---|---|---|---|
| 12月確定利益 | +14,656円 | +3,945円 | +18,601円 |
| 現在の含み損益 | +418円 | -398円 | +20円 |
| 実質損益 | +15,074円 | +3,547円 | +18,621円 |
| 累計獲得ピプス(概算) | 約1,400ピプス | 約400ピプス | 約1,800ピプス |
| 損切 | 0件 | 0件 | 0件 |
| トレード件数 | ポンド円 | ユーロ円 | 合計 |
|---|---|---|---|
| 新規 | 29件 | 10件 | 39件 |
| 決済 | 28件 | 8件 | 36件 |
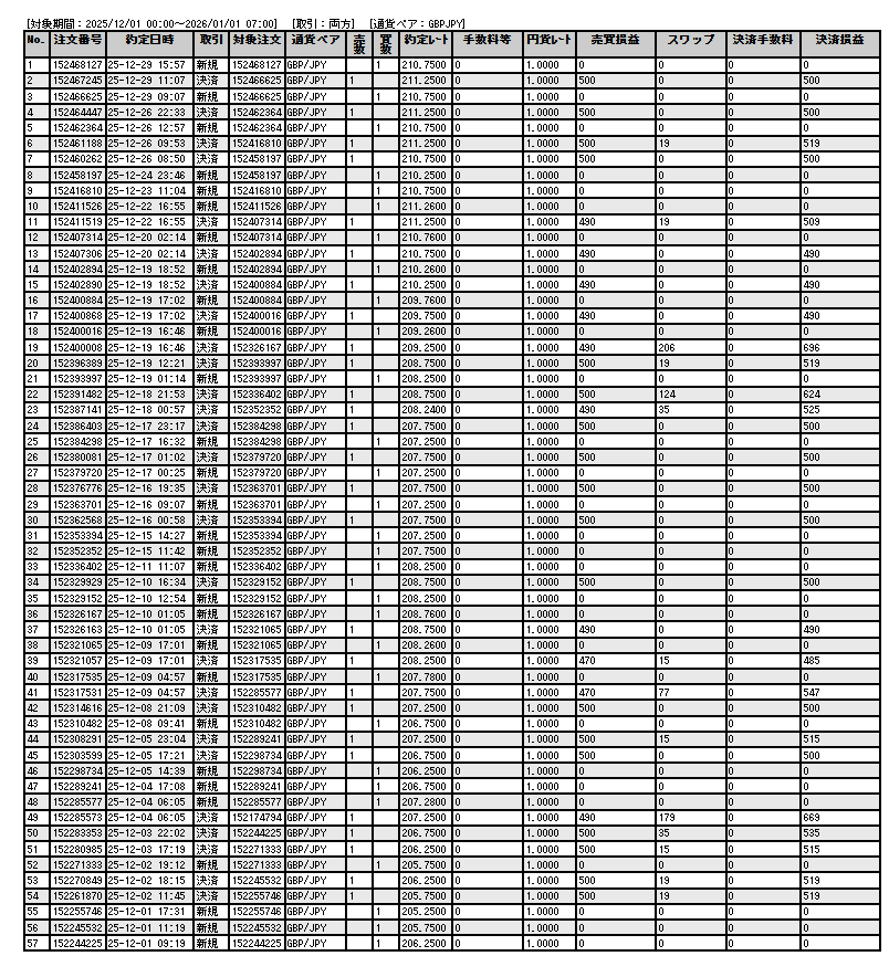
*累計獲得ピプス(概算)は、50(ポジション間隔)×(決済件数)で計算しています。概算なのは注文価格と約定価格がずれる「スリッページ」が発生することがあり、きっちり50ピプスではないこともあるからです。下記トレード履歴詳細の表を参照していただくと確認できます。画像が粗くてすみません。
トレード履歴詳細ポンド円(実際のスクショ):(2025年12月分)以前の記録は過去記事をご覧ください。

トレード履歴詳細ユーロ円(実際のスクショ):(2025年12月分)

未決済ポジション一覧(実際のスクショ): 通貨別に集計しています(12月末時点)

iサイクル2の設定
- 外為オンライン「iサイクル2」リアルで稼働させている自動売買の設定
- ①と②の合計521,400円で運用しています。
- ①通貨ペア : GBP/JPY(ポンド円)(2025/11/18開始)
- 対象資産 : 270,000円
- ポジション間隔: 50
- 想定変動幅 : 1000
- 上限本数 : 20
- ロット数 : 1
- 時間足 : 4時間
- 売買 : トレンド型(SMA)
- 通貨単位 : 1000
- 口座種類 : 25mini口座
- ②通貨ペア : EUR/JPY(ユーロ円)(2025/12/18開始)
- 対象資産 : 251,400円
- ポジション間隔: 50
- 想定変動幅 : 1000
- 上限本数 : 20
- ロット数 : 1
- 時間足 : 4時間
- 売買 : トレンド型(SMA)
- 通貨単位 : 1000
- 口座種類 : 25mini口座
